近日,学院科研团队在人工智能领域的最新研究成果DR-GGAD图机器学习模型成功入选国际人工智能顶级会议ICLR 2026(International Conference on Learning Representations)。这一成绩不仅体现了学院科研团队在前沿人工智能方向的持续突破,也标志着其研究成果在国际学术界的高度影响力。
ICLR由国际学习表征会议基金会主办,是机器学习与深度学习领域具有重要国际影响力的顶级学术会议之一。自2013年创办以来,ICLR以表示学习为核心主题,重点关注深度学习的理论基础与方法创新,已发展为引领全球机器学习与人工智能研究前沿的重要学术平台。

DR-GGAD: Dual Residual Centering for Mitigating Anomaly Non‑Discriminativity in Generalist Graph Anomaly Detection
作者:付昌陇#,何臻力#,张雄,谢诚*,金鑫,杨云
DR-GGAD模型聚焦图网络异常检测中的跨域漂移难题,当模型迁移到未见过的新环境时,图异常节点与正常节点的表征高度纠缠,异常特征可区分性(Discriminativity)显著降低,如下图所示:

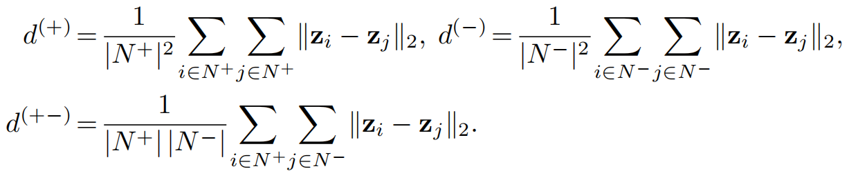
该工作创新性的将这一退化现象形式化为异常不可区分性(Anomaly non-Discriminativity),并将该不可区分性进行定量化表达,为下游的图节点异常检测提供计算依据。定量化表达公式如下所示:



DR-GGAD通过分析节点自残差,引入双残差中心化机制:一方面利用超残差(Hyper Residual)在残差空间中压缩正常模式、推远异常,提升特征层可分性;另一方面通过亲和力残差(Affinity Residual)约束局部残差一致性,缓解结构漂移带来的混淆。在完全冻结参数、无需目标域微调的条件下,模型融合两类残差信号输出领域无关异常评分。实验表明,DR-GGAD在多个目标图上取得新的SOTA,平均AUROC提升5.14%,并在高难度场景下显著领先,为通用图异常检测提供了新的理论刻画与实用路径。


这一最新成果的取得,表明学院在前沿人工智能方向的研究正在持续突破,国际学术影响力不断提升。